学历提升咨询热线

022—85194248

您现在的位置: 天津专升本网 > 升本考试 > 历年真题 > 天津 > 数学

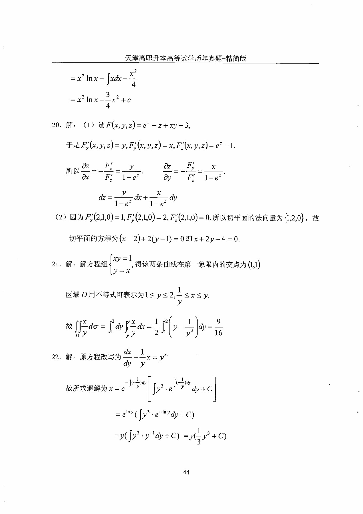
2010年天津专升本数学真题及答案

发布时间:2020-03-27浏览: 编辑:hongsheng
学历报名热线:022—85194248

地址:天津市津南区咸水沽镇金浩园17号底商3号智创工坊2楼恭学教育集团

网站版权Copyright © 2019-2022恭学教育所有津ICP备19008758号-3

历年真题| 考试科目| 升本院校| 升本专业| 网站地图| 关于我们

收缩
  • 电话咨询

  • 022—85194248